姓 名:阿布拉江·克依木
职称/职务: 教授、 硕士生导师
政治 面貌: 中共党员
专 业:有机化学
研究方向:有机金属催化的新反应,功能有机物的设计与合成
出生年月:1976年12月
联系方式:
邮 箱:ablajan209@hotmail.com, ablajankeyume@126.com
办公室:新疆大学本部5号楼500室
手 机:+86-13999135640
个人经历:
2016 -2017 美国 宾夕法尼亚大学(University of Pennsylvania),国家公派访问学者
2014 -至今 新疆大学,化学化工学院,教授
2009.9-2010.7 中国医学科学院&北京协和医学院, 药物研究所, “西部之光”访问学者
2008.9-2010.10 新疆医科大学 药学院博士后流动站,博士后
2006.7-2014.9 新疆大学, 化学化工学院, 副教授
2003.8 -2006.7 中国医学科学院 & 中国协和医科大学 , 药物研究所, 理学博士
2000.9-2003.7 新疆大学,化学化工学院,有机化学专业,理学硕士
1999.8-2000.9 新疆维吾尔自治区卫生厅,科研员
1994.9-1999.7 新疆师范大学(保送),化学系,理学学士
研究领域:
1. 有机功能杂环类化合物的设计、合成及其性能研究
2. 金属有机物催化的有机新反应研究
主要授课情况: 有机化学,天然药物化学,有机化学实验
主持项目:
1. 国家自然科学基金地区基金项目, 21462041,多取代嘧啶、哒嗪并咪唑及吲哚螺吡喃等功能杂环类化合物的多组分一锅法合成研究,主持,在研。
2. 国家自然科学基金地区基金项目, 21162028,维药复方复杂体系中有效成分的分离与分析方法研究,主持,已结题。
3. 自治区“杰出青年”科技人才培养项目,主持,已结题。
4. 新疆维吾尔自治区人力资源和社会保障厅, 天山英才工程第二层次培养计划,主持,已结题。
5. 中国科学院“西部之光”人才培养计划,主持,已结题。
6. 新疆科技厅自然科学基金项目,主持,已结题。
7. 中国博士后科学基金,主持,已结题。
8. 自治区高等学校科研计划项目, 主持,已结题。
大学生创新训练项目:
1. 新疆大学2013年度大学生创新训练计划项目, 多取代吡喃类及多取代嘧啶类化合物的三组分一锅法合研究, 指导教师, 已结题。
2. 新疆大学2015年度大学生创新训练计划项目, 项目名称:多取代双吡喃并吡唑衍生物的三组分一锅法合成, 指导教师, 已结题。
3. 新疆大学2011年度大学生创新训练计划项目, 项目名称:野苜蓿异黄酮类成分的分离与分析方法研究, 指导教师, 已结题。
科研奖励与个人荣誉:
1. 2016年度新疆大学优秀论文奖;
2. 2015年度自治区杰出青年”科技人才培养项目获得者;
3. 2015年被选为“教育部长江学者”—“青年学者”候选人;
4. 2013年入围“天山英才工程培养人选”;
5. 2013年化学化工学院“先进个人”称号;
6. 2011 年获得中华科学技术奖, 二等奖
奖励名称:药物复杂体系多组分及功能分子结构表征的质谱分析新方法
获奖者:再帕尔·阿不力孜、贺玖明、.张瑞萍、石建功、乔晋萍、阿布拉江·克依木、项赟、庾石山
授奖部门: 中华医学会
7. 2012 年获第二届新疆大学青年科技奖;
8. 2010年获得北京市科学技术奖, 二等奖
奖励名称:功能分子结构及药物复杂体系多组分的质谱分析新方法
获 奖 者:再帕尔·阿不力孜、贺玖明、张瑞萍、石建功、乔晋萍、阿布拉江·克依木、项赟、庾石山、耿平、李斌
授奖部门:北京市人民政府
9. 2009年被选为自治区优秀博士后资助人员;
10. 2009年中药创新论坛优秀论文奖;
11. 2007年分析测试协会科学技术奖;
12. 2006年西部地区支援奖,北京市教育局;
13. 2005年优秀博士研究生,中国协和医科大学;
14. 2002年度光华奖学金,新疆大学;
15. 2001年度光华奖学金,新疆大学;
研究成果
代表性的论文:
46. Rehanguli Ruzi, Muliang Zhang, Keyume Ablajan*, Chengjian Zhu*. Photoredox-Catalyzed Deoxygenative Intramolecular Acylation of Biarylcarboxylic Acids: A Facile Access to Fluorenones. Journal of Organic Chemistry, 2017, 82, 12834?12839.(SCI , IF = 4.86)

45 Keyume Ablajan, Grace B. Panetti, Xiaodong Yang, Byeong-Seon Kim, Patrick J. Walsh. Synthesis of diarylated 4-pyridylmethyl ethers via palladium-catalyzed cross-coupling reactions. Advanced Synthesis & Catalysis, 2017, 359, 1927–1932. (SCI, IF = 6.57)

44 Adil Omar, Keyume Ablajan*, Mawjvda Hamdulla. Cetyltrimethylammonium chloride (CTAC) catalyzed one-pot synthesis of novel coumarin-4H-pyran conjugates in aqueous media. Chinese Chemical Letters, 2017,28, 976–980. (SCI, IF = 1.91)

43 Wenbo Li, Reyhangul Ruzi, Keyume Ablajan*, Zulpiya Ghalipt. One-pot synthesis of highly functionalized pyrano[2,3-c]pyrazole-4,4′-diacetate and 6-oxo-pyrano[2,3-c]pyrazole derivatives catalyzed by urea. Tetrahedron, 2017, 73, 164–171.(二区)

42 Mengnisa Seydimemet, Keyume Ablajan*, Mawjvda Hamdulla, Wenbo Li, Adil Omar, Mamateli Obul. L-Proline catalyzed four-component one-pot synthesis of coumarin-containing dihydropyrano[2,3-c]pyrazoles under ultrasonic irradiation. Tetrahedron, 2016, 72, 7599–7605. (2区)

41 Ma Xiabing, Keyume Ablajan*, Mamateli Obul, Mengnisa Seydimemet, Reyhangul Ruzi, Li Wenbo. Facial one-pot, three-component synthesis of thiazole compounds by the reactions of aldehyde/ketone, thiosemicarbazide and chlorinated carboxylic ester derivatives. Tetrahedron, 2016, 72, 2349–2353. (2区)

40 Feng Jun, Keyume Ablajan*, Ma Xiabing, Li Wenbo, Obul Mamateli. Multi-component one-pot reactions for the synthesis spirooxindole-pyrano[2,3-c]pyrazole derivatives. Chin. J. Org. Chem., 2016, 36(1), 222–228. (3区)
![多组分反应合成螺吲哚-吡喃并[2,3-<em>c</em>]吡唑类化合物的研究](/images/__local745D6D347F86153BDB61D3CB7B31FD06_164A53AC_12C3.gif)
39 Wang Liju, Keyume Ablajan*, Feng Jun, Sun Wanfu. Rapid and efficient one-pot synthesis of spiro[indoline-3,4′-pyrano[2,3-c]pyrazole] derivatives catalyzed by L-proline under ultrasound irradiation, Ultrasonics Sonochemistry, 2015, 22, 113–118. (1区)

38 Fulian Zhan, Yongting Lu, Wetengul Kamil, Keyume Ablajan*. Chemical Constituents of Euphorbia sororia from Xinjiang, Chemistry of Natural Compounds,2015, 51(3), 561–562. (3区)
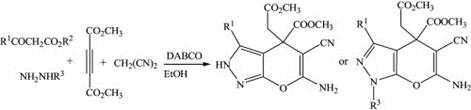
37 Keyume Ablajan*, Zeynepgul Esmayil, Liju Wang, Feng Jun. DABCO catalyzed efficient synthesis of multi-substituted pyrano[2,3-c]pyrazole-4-carboxylate via a one-pot reaction, Tetrahedron, 2014, 70, 3976–3980. (2区)

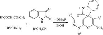
36 Jun Feng, Keyume Ablajan*. Ahat Sali. 4-Dimethylaminopyridine-catalyzed multi-component one-pot reactions for the synthesis of [indoline-3,4′- pyrano[2,3-c]pyrazole] derivatives, Tetrahedron,2014, 70, 484–489. (2区)

35 Wang Liju, Keyume Ablajan*. Pyrrolidine-catalyzed four-component one-pot synthesis of dihydropyrano[2,3-c]pyrazole derivatives, Current-Organic Synthesis,2014, 70, 309–316. (2区)

34 Keyume Ablajan*, Li-Ju Wang, Zulipiya Maimaiti, Yong-Ting Lu. CeCl3-promoted one-pot synthesis of multisubstituted bispyrano[2,3-c]pyrazole derivatives. Monatsh. Chem., 2014, 145, 491–496. (3区)

33 Keyume Ablajan*, Anagu Tuoheti. Fragmentation characteristics and isomeric differentiation of flavonol O-rhamnosides using negative ion ESI–MSn.Rapid-Commun. Mass-Spectrom., 2013, 27, 451–460. (2区)
32 Keyume Ablajan*, Wang Liju, Yakefujiang Kelimu, Feng Jun. Cerium ammonium nitrate (CAN)-catalyzed four-component one-pot synthesis of multi-substituted pyrano[2,3-c] pyrazoles under ultrasound irradiation, Molecular -Diversity, 2013, 17, 693–700.(2区)

31 N. Guo, K. Ablajan, Fan B, Yan H, Yu Y. Simultaneous determination of seven ginsenosides in Du Shen Tang decoction by rapid resolution liquid chromatography (RRLC). Food-Chemistry, 2013, 141, 4046–4050. (1区)
30 Keyume Ablajan*, Liju, W., Tuoheti, A. An efficient synthesis of some new hydrazone derivatives containing 1,2,3-triazole and thiazole. Letters in Organic Chemistry, 2013, 10(10), 715–721. (3区)
29 王立举, 阿布拉江?克依木*. Cs2CO3催化三组分“一锅法”合成5-氨基-7-芳基-7,8-二氢-[1,2,4]三唑并[4,3-a]嘧啶-6-腈衍生物[J]. 有机化学, 2013, 33(10), 2205–2209. (3区)
28 Keyume Ablajan*, Wetengul Kamil, Anagu Tuoheti, Sun Wanfu, An efficient three component one-pot synthesis of 5-amino-7-aryl-dihydro-triazolo[4,3-a]pyrimidine-6-carbonitriles, Molecules, 2012, 17(2), 1860–1869.(2区)
27 Zulipiya Maimaiti, Keyume Ablajan*. An efficient four-component synthesis of multisubstituted pyrano[2,3-c]pyrazole. Synthetic Communication,2012, 42(13), 1959–1966. (3区)
26 Keyume Ablajan*, Hainimu Xiamuxi. An efficient one-pot synthesis of β-unsaturated isoxazol-5-ones and pyrazol-5-ones under ultrasonic irradiation. Synthetic Communication,2012, 42(8), 1128–1136. (3区)
25 阿布拉江?克依木*, 王立举. 3-(2-萘基)-1-苯基-吡唑-4-甲醛腙衍生物的简便合成与表征. 有机化学, 2012, 32(12), 2358–2362. (3区)
24 Keyume Ablajan*, Anagu Tuoheti, Wang Liju, Zulipiya Maimaiti. An efficient four- component, one-pot synthesis of 6-amino-4- aryl-3-methyl-,4-dihydropyrano[2,3-C]pyrazole-5-carbonitriles under phase- transfer catalyst. Letters in Organic Chemistry. 2012, 9, 639–643.(3区)
23 Keyume Ablajan*. A study of characteristic fragmentation of isoflavonoids by using negative ion ESI-MSn. Journal of Mass Spectrometry, 2011, 46, 77–84. (2区)
22 Keyume Ablajan, Hainimu Xiamuxi. The convenient synthesis of 4-arylmethylidene-4,5- dihydro-3-phenylisoxazol-5-ones. Chinese Chemical Letters, 2011, 22(2), 151–154.
21 阿布拉江?克依木*.新型含三唑及噻唑环的腙类化合物的合成及生物活性研究. 有机化学, 2011, 31: 724–727.
20 祖力皮牙?买买提, 阿布拉江?克依木*, 孙万赋. 6-氨基-4-芳基-3-异丙基-1-苯基-4-氢吡喃[2,3-c]吡唑-5-腈的一锅法合成. 有机化学, 2011, 31(9), 1499–150.
19 阿娜姑?托合提, 阿布拉江?克依木*, 王立举, 外塔尼古丽?卡米力. 4-芳亚甲基-1-(4'-羧基苯基)-3-甲基吡唑-5-酮的三组分一锅法合成, 化学研究与应用, 2012, 24(8): 1309–1312.
18 阿布拉江?克依木*,阿娜姑?托合提, 刘方明.1,3-4-甲氧基苯基-5-甲基异噁唑-4-甲酰基-4-芳基氨基硫脲及其衍生物的合成, 合成化学, 2012, 20, 591–595.
17 祖力皮牙?买买提, 阿布拉江?克依木*, 李燕萍. 四组分一锅法合成多取代吡喃[2,3-c]吡唑-5-腈.化学通报, 2011, 74, 573–576.
16 阿布拉江?克依木*. 超声辐射下新型腙类化合物的合成研究. 化学研究与应用, 2011, 23, 1078–1083.
18 阿娜姑?托合提,阿布拉江?克依木*. 新型含异噁唑环的苯腙基吡唑酮与芳偶氮基吡唑酮衍生物的合成. 合成化学, 2011, 19, 509–512.
14 阿布拉江?克依木*, 海尼木?夏木西. 1,3-二苯基-5-氯-吡唑-4-甲醛腙类化合物的合成. 化学试剂, 2011, 33, 65–69.
13 海尼木 ? 夏木西 , 阿布拉江 ? 克依木 * . 4- 芳亚甲基 -4,5- 二氢 -1,3- 二苯基吡唑 -5- 酮的一锅法合成 . 有机化学 ,, 2010, 30, 436–438.

